Vertraulichkeit: Diese Vereinbarung dient ausschließlich zu Schutzzwecken und ist keine juristische Beratung. Es wird empfohlen, einen Rechtsanwalt oder Fachberater zu konsultieren, um die Hinweise auf individuelle Anforderungen abzustimmen.
Ein Verschwiegenheitserklärung Steuerberater ist erforderlich, um die vertrauliche Behandlung aller Informationen zwischen dem Steuerberater und dem Mandanten sicherzustellen. Dieses Muster hilft dabei, die Verschwiegenheitspflichten klar zu formulieren, und die Vorlage kann individuell angepasst werden. So wird gewährleistet, dass alle vertraulichen Informationen geschützt und richtig dokumentiert werden.
Was ist eine Verschwiegenheitserklärung beim Steuerberater? Eine Verschwiegenheitserklärung ist ein rechtliches Dokument, in dem sich der Steuerberater verpflichtet, alle vertraulichen Informationen des Mandanten geheim zu halten und nicht an Dritte weiterzugeben.
Warum ist eine Verschwiegenheitserklärung wichtig? Sie schützt die Privatsphäre des Mandanten und stellt sicher, dass sensible Finanzdaten und persönliche Informationen vertraulich behandelt werden.
Wann sollte die Verschwiegenheitserklärung unterschrieben werden? Idealerweise bei Beginn der Mandatsbeziehung, bevor vertrauliche Informationen ausgetauscht werden, um rechtliche Absicherung zu gewährleisten.
Was passiert, wenn der Steuerberater die Verschwiegenheitspflichten verletzt? Der Mandant kann rechtliche Schritte einleiten, Schadensersatz fordern und den Steuerberater abmahnen oder kündigen.
Welche Informationen enthält eine Verschwiegenheitserklärung? Der Name des Mandanten, Umfang der vertraulichen Informationen, Dauer der Verschwiegenheitspflicht sowie eventuelle Ausnahmen und rechtliche Konsequenzen.
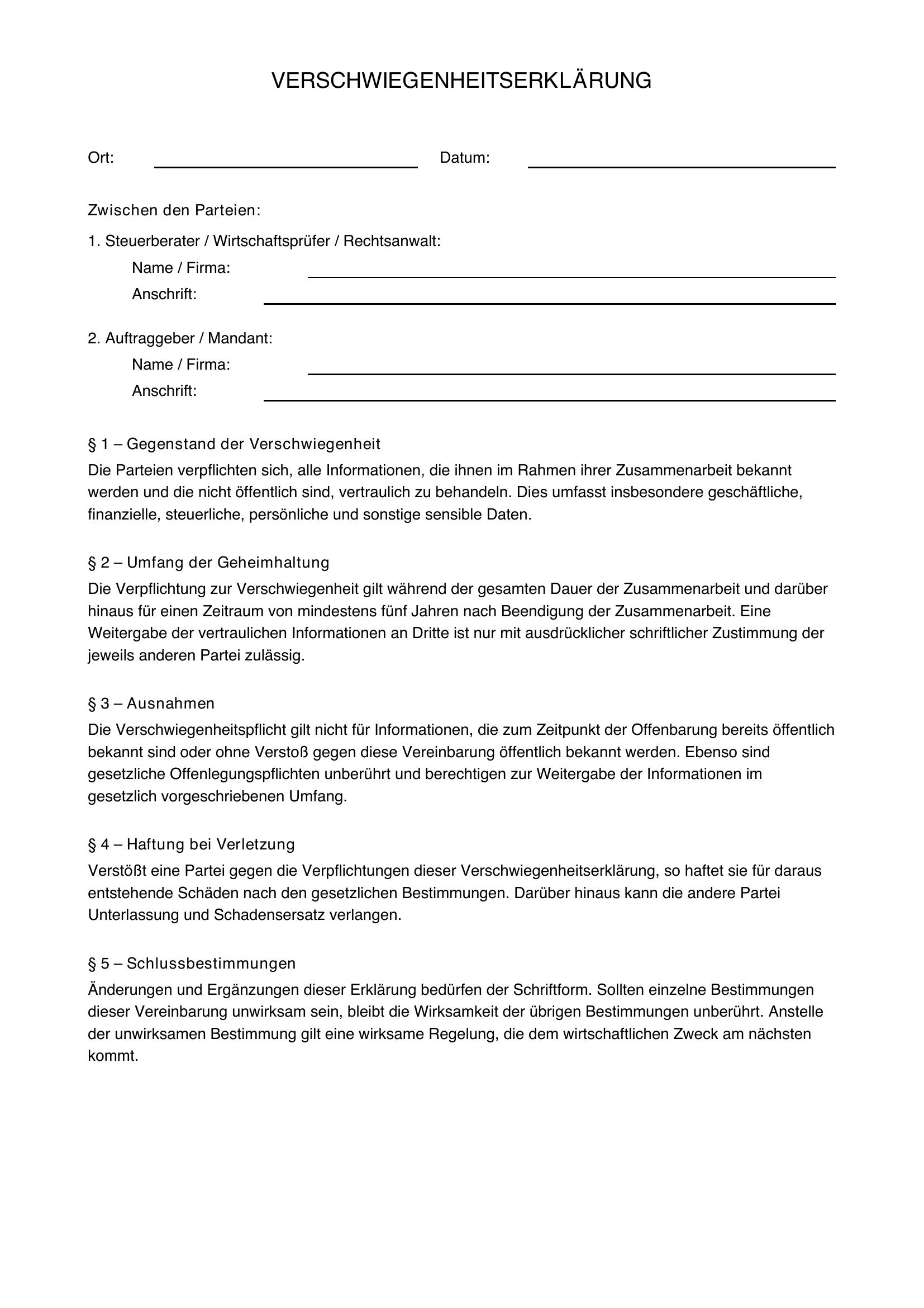
Dieses Beispiel veranschaulicht eine Verschwiegenheitserklärung für Steuerberater. Passen Sie den Text bei Bedarf an Ihre individuellen Anforderungen an.
Verschwiegenheitserklärung Steuerberater
Zwischen:
[Name des Steuerberaters / Kanzlei]
Angaben zur Partei, die die Verschwiegenheitserklärung abgibt.
Zweck:
Diese Verschwiegenheitserklärung dient dem Schutz vertraulicher Informationen im Rahmen der steuerlichen Beratungstätigkeit.
Hier wird der Zweck der Verschwiegenheit festgelegt.
Verpflichtung:
Der Steuerberater verpflichtet sich, alle im Rahmen seiner Tätigkeit erhaltenen vertraulichen Daten und Informationen streng vertraulich zu behandeln und nicht an Dritte weiterzugeben, soweit keine gesetzliche Offenbarungspflicht besteht.
Diese Klausel benennt die Verpflichtung zur Vertraulichkeit.
Dauer:
Diese Verpflichtung gilt auch nach Beendigung des Mandats unbefristet.
Der Zeitraum der Verpflichtung wird hier geregelt.
Ort: [Ort] – Datum: [Datum]
Unterschrift Steuerberater
